
The following is presented as supplemental material for additional interest regarding Pat Dorian’s article on Maynard Ferguson and Al Cohn from the Winter/Spring 2021 Issue of "The Note," published by East Stroudsburg University of Pennsylvania*.
While performing and recording many live tracks at Peacock Lane jazz room in Hollywood in December 1956 and January 1957, Maynard Ferguson (MF) and his orchestra (his West Coast Dream Band) were contracted by Universal International to record music and film a short subject Swingin’ and Singin’ (Universal Musical Short Film 3655 produced by Universal-International Pictures Inc./Universal Studios, December 18 & 21, 1956, © March 1, 1957).
Video courtesy of Mark Cantor

From the article: Upon my informing Noal Cohen about this film, he thoughtfully constructed a basic table (see Performance Segments box) to guide us through its segments, from the use of AC’s theatrical opening “curtain raiser,” “The Wailing Boat,” with MF capping off AC’s work with a sustained double-high C (concert pitch Bb), through each act where MF gets occasional featured phrases, and the “b

“The Wailing Boat” by Al Cohn
Al Cohn’s Sketch of “The Wailing Boat,” represented here digitally engraved by Matt Vashlishan and reproduced exactly from AC’s handwriting in terms of notation and layout (notice the repeats, endings and eighth note beaming).
From Pat Dorian’s article:
“The Wailing Boat” sketch is in the key of C, but AC arranged it for MF’s band in the key of Bb. It is dated August 13,

Maynard Ferguson and His Swingin’ Dream Band Orchestra:
Live at Peacock Lane, Hollywood 1956-1957
Fresh Sound Records [FSR-CD 346]

A mid-late 1950s vintage postcard of the Peacock Lane jazz room in Hollywood

Maynard's publicity photo from the 1950s

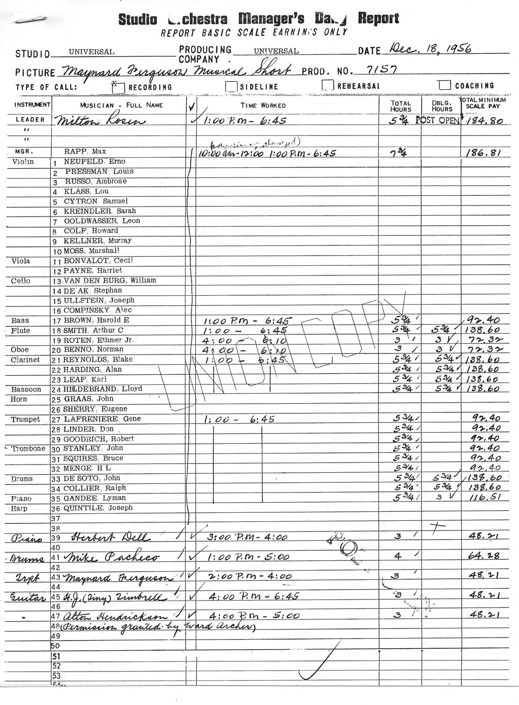
Universal Studio Manager’s Daily Report recording (audio only) contract from December 18, 1956 for the “Maynard Ferguson Musical Short (7157),” listing MF and his musicians. Courtesy of Mark Cantor

Universal Studio Manager’s Daily Report recording (audio only) contract from December 18, 1956 for the “Maynard Ferguson Musical Short (7157),” listing extra musicians. Courtesy of Mark Cantor

Universal Studio Manager’s Daily Report sideline (filming) contract from December 21, 1956 for the “Maynard Ferguson Musical Short (7157),” listing MF and his musicians. Courtesy of Mark Cantor
*As Editor of "The Note" at East Stroudsburg University's Al Cohn Memorial Jazz Collection, this content is created and presented here personally by Matt Vashlishan using the information, photos and documents provided to him for use in "The Note." This page and presentation has absolutely NO affiliation with East Stroudsburg University whatsoever and therefore does not necessarily follow ESU policy for accessible content. For content compliant with ESU policy, please visit esu.edu/jazzatesu.